티스토리 뷰
목차
반응형
건설안전기사 / 산업기사 인간공학 및 시스템안전공학 필기 기출문제 요점 정리
2020년 06월 07일 시행

01. 인간 계측 자료의 응용 원칙
- 최대치수와 최소치수 : 최대치수 또는 최소치수를 기준으로 하여 설계한다.(극단에 속하는 사람을 위한 설계)
- 조절범위(조절식) : 체격이 다른 여러 사람에게 맞도록 만드는 것이다.(조절할 수 있도록 범위를 두는 설계)
- 평균치를 기준으로 한 설계 : 최대치수나 최소치수, 조절식으로 하기가 곤란할 때, 평균치를 기준으로 하여 설계한다.(평균적인 사람을 위한 설계)
02. PHA(예비사고분석)의 정의와 목적
- 정의 : 대부분 시스템 안전분석에서 최초 단계의 분석으로, 시스템 내의 위험한 요소가 얼마나 위험한 상태에 있는가를 정성적으로 평가하는 것이다.
- 목적 : 시스템의 개발 단계에 있어서 시스템 고유의 위험상태를 식별하고 예상되는 재해의 위험 수준을 결정하는 데 있다.
03. 인간과 기계의 상대적 재능
| 인간이 우수한 기능 | 기계가 우수한 기능 |
| 저 에너지 자극 감지(시각, 청각, 후각 등) | 인간 감지 범위 밖의 자극 감지(X선, 초음파 등) |
| 복잡 다양한 자극 형태를 식별 | 인간 및 기계에 대한 모니터 가능 |
| 예기치 못한 사건을 감지(예감, 느낌) | 드물게 발생하는 사상 감지 |
| 다량정보를 오래 보관 | 암호화된 정보를 신속하게 대량보관 |
| 귀납적 추리 | 연역적 추리 |
| 과부하 상황에서는 중요한 일에만 전념 | 과부하시 효율적으로 작동 |
| 임기응변, 융통성 원칙 적용, 주관적 추산, 독창력 발휘 등의 기능 |
정량적 정보처리, 장시간 중량작업, 반복작업, 동시에 여러가지 작업 수행 |
04. 화학설비에 대한 안전성평가시 정량적 평가 항목
- 취급물질
- 용량
- 온도
- 압력
- 조작
05. 조종장치의 촉각적 코드화(암호화)
- 크기를 구별하여 사용하는 경우 : 크기(직경 및 두께)의 차이를 쉽게 구별할 수 있도록 설계
- 형상을 구분하여 사용하는 경우 : 만져봐서 식별되는 손잡이, 용도와 관련된 형상으로 식별
- 표면 촉감을 사용하는 경우 : 매끄러운 면, 세로홈, 길쭉면
06. FTA(결함수 분석법)의 수정기호

- 우선적 AND Gate : 입력사상 가운데 어느 사상이 다른 사상보다 먼저 일어났을 때에 출력사상이 생긴다.
- 예 : 「A는 B보다 먼저」와 같이 기입한다.
- 짜맞춤 AND Gate : 3개 이상의 입력사상 가운데 어느 것이든 2개가 일어나면 출력사상이 생긴다.
- 예 : 「어느 것이든 2개」라고 기입한다.
- 위험지속기호 : 입력사상이 생겨서 어느 일정시간 지속하였을 때에 출력사상이 생긴다.
- 예 : 「위험지속시간」과 같이 기입한다.
- 배타적 OR Gate : OR Gate로 2개 이상의 입력이 동시에 존재할 때에는 출력사상이 생기지 않는다.
- 예 : 「동시에 발생하지 않는다」라고 기입한다.
07. 산업안전보건법령상 사업주가 위해위험방지계획서를 체출할 때 사업장 별로 관련 서류를 첨부하여 해당 작업 시작 며칠 전까지 해당 기관에 제출하여야 하는가?
- 15일(전까지 공단에 2부를 제출)
08. 시스템 안전 분류기준의 위험성 평가 매트릭스에서 정성적 확률 등급
- A : 자주 발생하는(Frequent)
- B : 보통 발생하는(Reasonably Probable)
- C : 가끔 발생하는(Occasional)
- D : 거의 발생하지 않는(Remote)
09. 작업환경의 온도변화에 대한 신체 조절작용
| 적온에서 고온환경으로 변할 때 | 적온에서 한냉환경으로 변할 때 |
| - 많은 양의 혈액이 피부를 경유하여 피부온도가 올라간다. - 직장온도가 내려간다. - 발한이 시작된다. |
- 많은 양의 혈액이 몸의 중심부를 순환하며 피부온도는 내려간다. - 직장온도가 약간 올라간다. - 소름이 돋고 몸이 떨린다. |
10. 손이나 특정 신체부위에 발생하는 누적손상장애(CTD)의 발생요인
- 무리한 힘의 사용
- 진동 및 온도(저온)
- 반복도가 높은 작업
- 부적절한 작업 자세
- 날카로운 면과 신체 접촉
11. 인체에서 골격(뼈)의 기능(역할)
- 지지기능 : 뼈는 크게 근육을 받쳐주고 몸무게를 지탱하여 체형을 유지시킨다.
- 보호기능 : 신체의 중요한 기관(뇌, 심장, 내장 등)을 보호한다.
- 조혈기능 : 골수는 적혈구를 비롯한 혈액 세포들을 만드는 조혈기능 갖는다.
- 운동기능 : 관절을 통해 다양한 동작을 가능하게 하는 운동기능을 갖는다.
12. 의자 설계 시 고려해야 할 사항
- 등받이의 굴곡은 전단곡(요추의 굴곡)과 일치하여야 한다.
- 정적인 부하와 고정된 작업자세를 피해야 한다.
- 좌면의 높이는 신장에 따라 조절이 가능해야 한다.
- 의자의 높이는 오금(무릎의 구부러지는 오목한 안쪽 부분) 높이와 같거나 낮아야 한다.
13. 시각장치와 비교하여 청각장치 사용이 유리한 경우는?
- 메시지에 대한 즉각적인 반응이 필요할 때
| 청각장치사용 | 시각장치사용 |
| - 전언이 간단하고 짧다. - 전언이 후에 재참조 되지 않는다. - 전언이 즉각적인 사상(Event)을 이룬다. - 전언이 즉각적인 행동을 요구한다. - 수신자가 시각계통이 과부하 상태일 때 - 수신장소가 너무 밝거나 암조의 유지가 필요할 때 - 직무상 수신자가 자주 움직이는 경우 |
- 전언이 복잡하고 길다. - 전언이 후에 재참조 된다. - 전언이 공간적인 위치를 다룬다. - 전언이 즉각적인 행동을 요구하지 않는다. - 수신자의 청각계통이 과부하 상태일 때 - 수신장소가 너무 시끄러울 때 - 직무상 수신자가 한곳에 머무르는 경우 |
14. 컷과 패스의 설명
| 구분 | 설명 | |
| 컷셋과 미니멀 컷 |
컷셋 (Cut Set) |
정상사상을 일으키는 기본사상(통상사상, 생략사상 포함)의 집합 |
| 미니멀 컷 (Minamal Cut Set) |
정상사상을 일으키키 위해 필요한 최소한의 컷 (시스템의 위험성을 나타냄) |
|
| 패스 셋과 미니멀 패스 |
패스 셋 (Pass Set) |
정상사상이 일어나지 않는 기본사상의 집합 |
| 미니멀 패스 (Minamal Pass) |
필요 최소한의 패스 | |
15. 옥내 최적 반사율
- 천정 : 80~90%
- 벽, 창문 : 40~60%
- 가구, 사무용 기기, 책상 : 25~45%
- 바닥 : 20~40%
16. FTA(결함수 분석법)에 의한 자해사례 연구순서
- 1단계 : 톱(Top) 사상 선정
- 2단계 : 사상의 재해 원인 규명
- 3단계 : FT의 작성
- 4단계 : 개선 계획의 작성
17. 인간공학 연구조사에 사용되는 기준 요건
- 적절성 : 기준이 의도된 목적에 적당하다고 판단되는 정도를 말한다.
- 무오염성 : 기준 척도는 측정하고자 하는 변수 외의 다른 변수들의 영향을 받아서는 안된다는 것이다.
- 기준척도의 신뢰성 : 척도의 신뢰성은 반복성을 의미한다.
18. 휴먼 에러(Hunman Error)의 요인
| 심리적 요인 | 물리적 요인 |
| - 서두르거나 절박한 상황 - 그 일의 지식부족 - 일을 할 의욕, 모럴(Moral) 결여 - 매우 피로해 있을 경우 - 선입관으로 괜찮다고 느끼고 있을 경우 - 무엇인가의 체험으로 습관적으로 되어 있을 경우 - 많은 자극이 있어 어떤것에 반응해야 좋은지 알 수 없을 경우 - 주의를 끄는 것에 치우쳐 주의를 빼앗기고 있을 경우 |
- 일이 너무 복잡한 경우 - 일이 단조로운 경우 - 일의 생산성이 너무 강조될 경우 - 동일 형상의 것이 나란히 있을 경우 - 자극이 너무 많을 경우 - 재촉을 느끼게 하는 조식이 있을 경우 - 스테레오 타입(Stereo Type)에 맞지 않는 기기 - 작업조건에 문제가 있을 경우 |
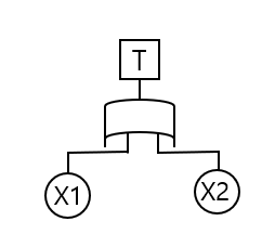
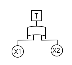
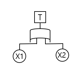
19. 다음 FT도에서 시스템에 고장이 발생할 확률은 얼마인가?(단, X1과 X2의 발생확률은 각각 0.05, 0.03이다)

- T(시스템 고장발생확률)=1-(1-X1)(1-X2)=1-(1-0.05)(1-0.03)=0.0785
20. 각 부품의 신뢰도가 다음과 같을 때 시스템의 전체 신뢰도는 약 얼마인가?

- R(시스템 신뢰도)=0.95x[1-(1-0.95)(1-0.9)]=0.9453
반응형
'자격증 정보' 카테고리의 다른 글
| 건설안전기사 / 산업기사 건설재료학 필기 기출문제 요점 정리(2020년 1회) (0) | 2023.05.20 |
|---|---|
| 건설안전기사 / 산업기사 건설시공학 필기 기출문제 요점 정리(2020년 1회) (0) | 2023.05.19 |
| 건설안전기사 / 산업기사 산업심리 및 교육 필기 기출문제 요점 정리(2020년 1회) (0) | 2023.05.17 |
| 건설안전기사 / 산업기사 산업안전관리론 필기 기출문제 요점 정리(2020년 1회) (0) | 2023.05.16 |
| 건설안전기사 / 산업기사 건설안전기술 필기 기출문제 요점 정리(2019년 3회) (0) | 2023.05.15 |

